New 5000-hour Sample Test Results
Some time ago, we demonstrated the outstanding reliability and accuracy of the PAT-Cell, our standard 3-electrode battery test cell, in combination with our PAT-tester-i-16 potentiostat, with a 2000-hour measurement.
In this new sample test, we have once again cycled a PAT-Cell in a PAT-Tester-i-16, but increased the experiment time to a full 5000 hours. We want to show you the impressive results here.
Details on the experimental setup:
- Battery test cell: PAT-Cell with metal seal
- Potentiostat: PAT-Tester-i-16 at 25°C
- Cell stack and chemistry:
- Electrodes: NCM 111 vs. graphite (CCI, 2 mAh/cm2)
- Electrolyte: LP32
- Insulation sleeve with built-in glass fiber separator (GF/A) and Li reference ring
- Test protocol:
- CC-CV charge to 4.2 V, CC-CV discharge to 3.0 V
- Charge and discharge at 0.1 C, 30 min CV
Test results
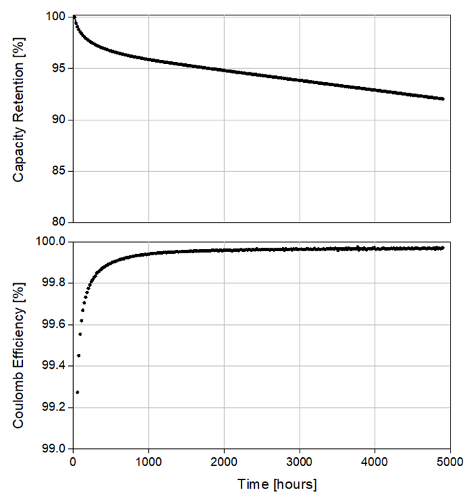
In the first diagram, we look at capacity retention and Coulomb efficiency over time. Even after 5000 hours of measurement, the observed capacity loss is only 10%. This high value is comparable to commercial lithium-ion batteries. Battery longevity is achieved by the high tightness of the PAT-Cell, specifically through the use of a metallic aluminum seal.
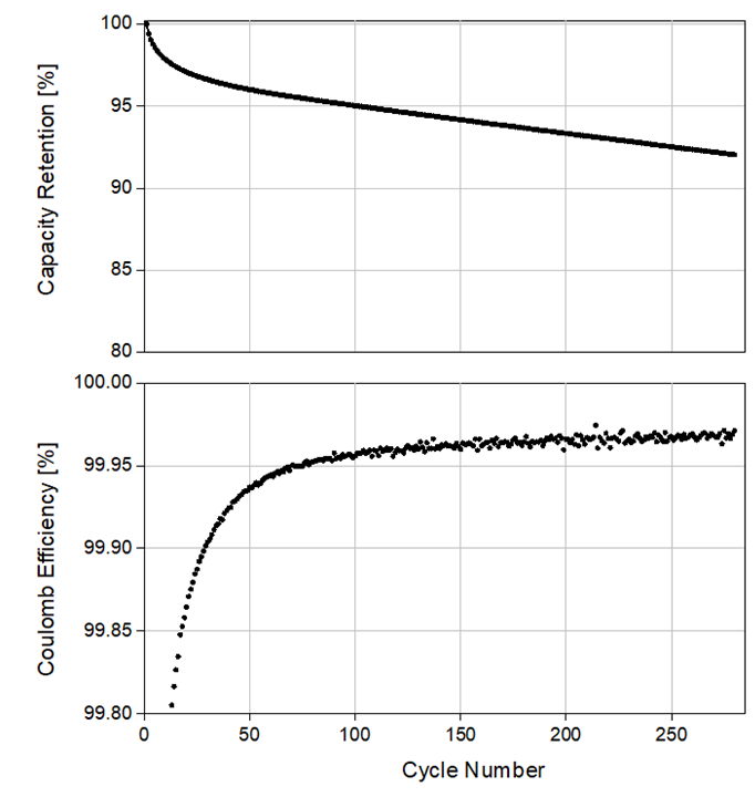
Here, we look at the same values against the number of cycles. We have also enlarged the Coulomb efficiency axis to better see the exact distribution of the measurement points. Remarkable here is the resolution and precision of the PAT-Tester-i-16 used, which enables determination of the charging efficiency to within a few hundredths of a percent.
The last two diagrams show that the reference electrode functions without any problems throughout the entire period, allowing us to examine the performance of the anode and cathode separately. This is a significant advantage over conventional two-electrode measurements, e.g., coin-cell measurements.
Conclusion
The PAT-Cell test cell series and the perfectly matched PAT-Tester potentiostats form a uniquely powerful platform for characterizing lithium-ion battery materials using a reference electrode. This integrated solution delivers what battery researchers need most: unmatched precision, unrivaled stability, and true long-term performance.
At the heart of the PAT-Cell lies an exceptional sealing concept that enables continuous measurements over several thousand hours. Thanks to highly reliable glass-to-metal feedthroughs for electrode connections and a robust metallic aluminum seal for the cell lid, the PAT-Cell achieves outstanding tightness.
The result: long-term experiments with performance retention comparable to commercial lithium-ion batteries — as you can see in these test results, only 10% capacity loss over more than 5000 hours.
Paired with the PAT-Tester, this system becomes a benchmark for high-precision electrochemical analysis. The PAT-Tester delivers industry-leading resolution and accuracy, capable of determining charge efficiency with a precision of just a few hundredths of a percent. No other battery tester on the market offers comparable performance, making the PAT-Tester the ideal instrument for High Precision Coulometry (HPC).
A further unique advantage is the long-term stability of the reference electrode. It operates reliably over the full 5000-hour duration, enabling separate and continuous monitoring of both the anode and the cathode. By measuring individual electrode potentials and impedances, researchers gain deep insight into degradation pathways and performance evolution — with unsurpassed clarity.
Together, PAT-Cell and PAT-Tester set a new standard for long-term, high-precision battery material characterization. For anyone seeking uncompromising data quality, extended test durations, and true electrode-level insight, there is no better choice.
_
by Dr. Matthias Hahn et al.
Related products:
3-electrode battery test cell for electrochemical testing of lithium-ion and other materials using the innovative PAT-Core concept.
Read more
Multichannel potentiostat with an integrated temperature chamber
Read more









Comments are closed.